In 2020, it was rated as a national specialized and new "little giant" enterprise by the Ministry of industry and information technology
2023-04-28 6227
、背景
当今世界,石油短缺和白色污染日益严重,人们的环保意识逐渐增强。生物基可降解塑料聚乳酸(PLA)由玉米等原料发酵生成乳酸聚合而成,由于具有原料可循环再生性、反复的热加工性、以及相对于其它生物基塑料优良的力学性能和气体阻隔性能,已成为公认的最具前景的石油基塑料的替代。
随着 PLA 合成技术的不断进步,其生产成本不断降低,由于其机械强度与现有塑料性能相近,具有高达140~180℃的熔点,而且由于其透明性优异,进而使其已逐渐从生物医学领域进入纺织、餐具以及产品包装等领域进行应用。但由于 PLA的晶核密度和结晶速率较低,一般成型制品呈非晶态,大大降低了其耐热性、严重影响其机械性能、热加工性能和耐热性能,极大限制了其在电子、电器以及工程塑料等领域的应用。因此, 改善结晶性能成为拓宽PLA应用领域的关键。
成核改性是提高 PLA 结晶度,加快结晶速率以改善结晶性能的有效方法。沿用传统石油基塑料用成核剂滑石粉、苯基磷酸锌以及有机酰胺类成核剂虽然也可以使 PLA 的结晶能力得到一定程度的改善,但由于成核剂自身为非有机生物质的体系,因此这类成核剂的添加和使用在一定程度上破坏了PLA可生物降解以及可循环再生的特性。
因此,在绿色环保材料应用的呼声日益高涨的今天,选择绿色可生物降解的添加体系来制备“Double Green”的生物可降解材料迫在眉睫。
二、PLA的结晶行为
由于手性碳原子的存在,乳酸具有D 型和 L 型两种构象,两个乳酸分子缩聚可以得到D型、L型和DL型3种构象的丙交酯。

PLA主要是由丙交酯开环聚合所得,因此,PLA存在聚左旋乳酸(PLLA),聚右旋乳酸(PDLA)以及聚消旋乳酸(PDLLA)3种光学异构体
由于结晶条件不同,PLA存在α、β和γ三种晶型。α晶型是最常见也是热力学最稳定的晶型;β 晶型可在较高的拉伸比(10~20)和拉伸温度(180~200 ℃)下得到,研究发现 β 晶型 PLA 有优良的抗冲击性和耐热性,相比于 α 晶,β 晶不稳定,熔点低约10 ℃;γ 晶型是由 PLLA 在 140 ℃左右,通过六甲基苯外延生长获得。
图2:PLA晶型结构模型
PLLA 和 PDLA 均为 α 晶型,但可以在熔融状态下或在溶液中通过等摩尔比例共混 PLLA 和 PDLA 获得立构复合晶体 Sc?PLA,由 Ikada 于1987年首次提出。
PLA 的 SC 晶型的一个重要特征是其熔点比各自均聚物的熔点高出大约 50 ℃。此外,研究表明 Sc?PLA 可作为自身成核剂促进 PLA结晶。
三、成核机理
目前,关于 PLA 的成核机理的理论主要有两类:Binsbergn 的异相成核机理以及 Wittmann 的附生结晶理论。Binsbergn 认为成核剂作为一种异相晶核,非极性部分表面会有凹痕形成,而后聚合物的分子链在其中整齐排列,促进聚合物的结晶过程。附生结晶指的是一种结晶物质以另外一种晶体为基底在其表面进行单向或者多向结晶。
四、PLA用有机生物质成核剂
1、多糖类物质
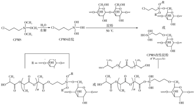
淀粉:淀粉由于含有大量羟基,在实际应用中存在与PLA 相容性较差的问题,进而影响了其在 PLA 当中的成核性能。因此,对淀粉进行改性是提高其在 PLA 当中的成核性能是其能否作为 PLA 高效成核剂的关键。学者多采用热塑性淀粉,即通过表面改性使淀粉在PLA 中的分散相尺寸减小,在这种形态下,淀粉是一种无定形和高塑性的聚合物。
此外,还可通过改性为淀粉提供反应基团与 PLA 结合,更加有效地提高了淀粉类成核剂与 PLA 相容性与成核效果。

图3:硅烷偶联剂改性淀粉及熔融共混示意图
纤维素及纤维素纳米晶:纤维素在自然界中储量丰富,所有的植物及部分的被囊动物、藻类和细菌都能合成纤维素。纳米纤维素(NC)是指至少有一维空间尺寸在纳米尺度(1~100 nm)内的纤维素,主要包括微纤化纤维素、纳米纤维素晶体和细菌纳米纤维素等。

图4:纤维素纳米晶制备示意图
纤维素通过酸解可以得到高结晶度的棒状纤维素纳米晶(CNC),将其与 PLA 共混可促进半结晶性的 PLA 在结晶过程中的成核,提高 PLA的结晶速度,但 CNC 自身极易团聚,通过前期溶液处理和表面改性等手段可有效提高提高 CNC 在 PLA 中分散性。
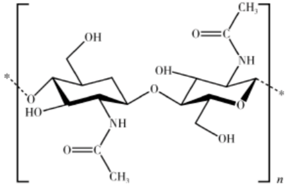
甲壳素:甲壳素是除纤维素外地球上含量最多的天然有机化合物,并且也是地球上除蛋白质外数量最大的含氮天然有机化合物,广泛存在于甲壳纲动物虾和蟹的甲壳、昆虫的甲壳、真菌的细胞壁和植物的细胞壁中。甲壳素化学结构与纤维素的结构类似,基本结构都是葡萄糖单元,区别在于纤维素 C2位置的羟基被乙酰胺基所取代。

图5:甲壳素的结构式
甲壳素晶须(CHW)是通过酸解甲壳素得到的单个的甲壳素微晶,具有优异的力学强度和模量,是一种理想的聚合物纳米填料。
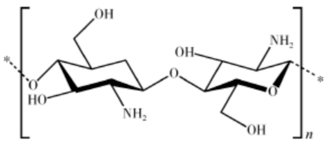
壳聚糖:壳聚糖是甲壳类动物(如螃蟹、虾和龙虾)的保护性表皮和一些真菌(如曲霉菌和毛霉菌)的细胞壁的主要成分,可由甲壳素脱乙基制得。

图6:壳聚糖的结构式
环糊精:环糊精(CD)是淀粉的天然产物,由直链淀粉在芽孢杆菌产生的环糊精葡萄糖基转移酶作用下生成的一系列环状低聚糖,通常含有 6~12 个 D?吡喃葡萄糖单元,其中研究较多并且具有重要实际意义的是含有 6、7、8 个葡萄糖单元的分子,分别称为 α?CD、β?CD 和γ?CD。
不同与以上几种多糖类成核剂,CD 是一类超分子化合物,具有腔内疏水,外部亲水的特性,能够全部或部分包合极性化合物(如醇,酸,胺和小的无机阴离子)和非极性化合物(如芳族和脂族烃)。

图7:包合物形成过程示意图
2、酚类物质
木质素:木质素是植物细胞壁中的一类交联酚类生物聚合物,是制浆工艺分理出纤维素后的一种副产品,每年生产超过70 000 kt木质素,但其中大部分被视为废物或用于产生热量。木质素由于含有丰富的羟基以及分子间氢键作用,很容易吸收空气中的水分并发生聚集,呈深棕色湿粉状态。

3、醇类物质
肌醇:肌醇又称环己六醇,目前普遍使用加压水解法,以脱脂米糠为主要原料生产肌醇。理论上肌醇有 9 种可能的异构体,都为葡萄糖的同分异构体。

4、蛋白质类
氨基酸:氨基酸是组成生物体内蛋白质的基本结构单元,具有独特的生物相容性和完全生物可吸收性。Maria等研究指出聚甘氨酸少量添加即可显著提高PLA结晶度(60. 5 %),与工业用滑石粉效果(81. 1 %)相当。
此外,氨基酸分子由于具有氨基和羧基官能团,得 以成为化学反应中的良好配体,可以与多种金属离子发生配位反应形成氨基酸金属盐。
5、羧酸类
乳清酸:乳清酸(OA)俗称维生素 B13,在自然界中普遍存在于根茎类植物、动物乳浆中,广泛应用于生物医药、食品等领域。

6、多支链聚乳酸结构类成核剂
CN114634617A、CN114605625A公开了一类用于聚乳酸树脂的有机成核剂,该成核剂是由六羟甲基三聚氰胺引发合成的多支链聚乳酸结构,分子链末端与羧酸盐基团其中一个羧基形成酯键,其他羧基和金属阳离子形成离子键,并聚合丙交酯、乳酸或聚乳酸而得到;或由六羟甲基三聚氰胺引发丙交酯聚合,当反应产物达到一定分子量后使用草酰胺化合物封端,得到有机成核剂。

这类有机成核剂有多条支链聚乳酸分子链,与一般的有机成核剂相比在聚乳酸树脂中的分散性更好,晶粒尺寸接近可见光波长,能够提供透明的树脂组合物;有机成核剂的支链结构与聚乳酸链结构相同,能够在合适的温度范围下使熔融态聚乳酸分子链附晶生长,能缩短结晶时间、提升聚乳酸树脂的热变形温度;成核剂和聚乳酸树脂由全部或大部分来自植物的原料合成,聚乳酸树脂组合物的植物度不会降低,是一种环境友好型材料。
添加此类成核剂的聚乳酸树脂显著提高聚乳酸树脂的结晶温度、结晶度,快速退火后结晶完全,提高了制品的热变形温度同时保持了制品的透明性。
五、结语
PLA 作为可降解环保材料具有广阔的应用前景,有机生物质成核剂来源广泛,成本较低,可与基体PLA的可生物降解、可循环再生的特性进行匹配,进而在PLA的功能化改性方面达到了绿色环保的要求。
在实际应用过程中,多糖类物质由于更加廉价易得,多年来对热塑性淀粉、纤维素纳米晶等已有广泛而深入研究,改性主要针对多羟基结构引起的成核剂与PLA相容性较差的问题,一方面通过直接减小分子尺寸提高分散性,另一方面通过引入PLA链段等表面功能化改性手段提高分散性。
值得注意的是,未来研究工作在改性手段以及改性物质的选择上也应从生物可降解角度出发以符合体系绿色环保的特性。酚类、醇类以及羧酸类成核剂的研究较为匮乏,目前已有研究虽可证明其为有效 PLA 用有机生物质成核剂,但具体结晶机理还需进一步探索。不同于前述有机生物质成核剂,氨基酸不仅有效促进PLA结晶,还可以原位催化丙交酯开环聚合,在 PLA 制备与成核过程中均有重要作用,值得更为深入的研究。
有机生物质来源广泛,类别众多,数目庞大,目前应用于PLA的有机生物质成核剂种类较为有限,还有大量有机有机生物质的提纯、改性、应用过程值得进一步研究探索,这对 PLA 产品的广泛应用具有重要的影响。
Reference: CN114634617A、CN114605625A 中国塑料《聚乳酸生物质成核剂研究进展》
上一篇:
下一篇:
版权所有:营口风光新材料股份有限公司 辽ICP备17015501号-1 技术支持:
onnuoIAD
? COPRIGHT 2021 FENGGUANG ADVANED MATERAL.ALL RIGHTS RESERVED